• Предмет: Химия
  • Автор: margarita8868
  • Вопрос задан 2 года назад

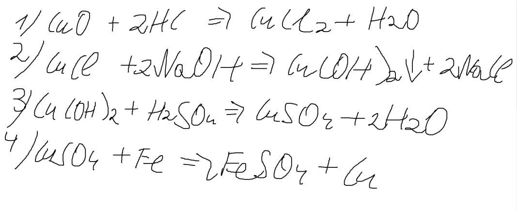
CuO-CuCI2- Cu(OH)2-CuSO4-FeSo4 Срочно пожалуста

Ответы

Ответ дал: misterkroha12
1

Ответ:

решение на скриншоте
1)CuO+2HCl=CuCl2+H2O

Объяснение:

Приложения:

margarita8868: СПАСИБОООООООООООооОоо
Вас заинтересует