• Предмет: Алгебра
  • Автор: marina835740
  • Вопрос задан 1 год назад

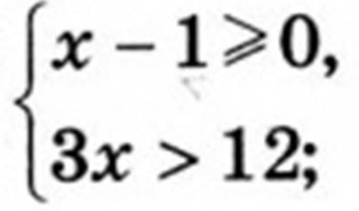
Знайдіть найменший розв'язок системи.

Приложения:

tamarabernukho: цілий?
marina835740: Так

Ответы

Ответ дал: denisdanilevsky8
0

Відповідь:

Пояснення:

\begin{cases} {x-1\geq 0} \\ {3x > 12} \end{cases}

\begin{cases} {x\geq1 } \\ {x > 4}\end{cases}\\\\

x∈(4;∞)

Відповідь:5

Приложения:
Вас заинтересует