№ 6. Під час ізотермічного стиснення газ віддав кількість теплоті 20 Дж.
Визначте зміну внутрішньої енергії газу. Знайдіть роботу, яку виконав газ при
стисканні. Відповідь поясніть
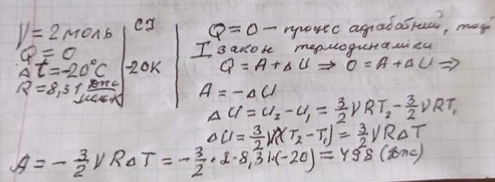
№ 7. 3 молі одноатомного ідеального газу розширюються без теплообміну з
навколишнім середовищем. Температура газу при розширенні зменшилася на
15 0С. Визначте роботу, виконану газом при розширенні.
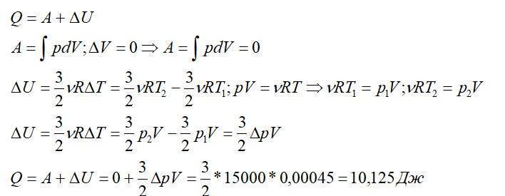
№ 8. Внаслідок теплопередачі тиск одноатомного ідеального газу збільшився на 0,5 МПа. Яку кількість теплоти було передано газу, якщо його об’єм дорівнює
4 м^3 і в ході процесу залишається постійним?
№ 9. У результаті ізобарного розширення неон виконав роботу 56 Дж. Яку
кількість теплоти передано газу?
Ответы
Ответ дал:
1
#6;7;8;9.
Все я помогла як могла
можеш переписувати
а і ше єсті ти не понімаєш який номер зараз
скажу.
Перше фото #6
Друге #7
Третє #8
Четверте #9.
все!
Приложения:




Вас заинтересует
1 год назад
1 год назад
1 год назад
3 года назад
3 года назад
8 лет назад