Самостійна робота, 5 клас
«Середнє арифметичне. Середнє значення величин»
Варіант 1
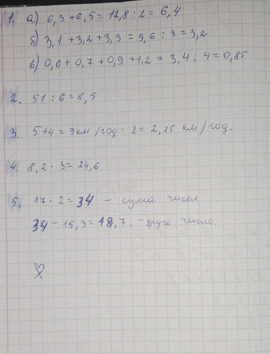
№1  Знайдіть середнє арифметичне чисел:
а) 6,3 і 6,5;  б) 3,1; 3,2 і 3,3;  
в) 0,6; 0,7; 0,9 і 1,2.
№2  Сума шести чисел дорівнює 51. Чому дорівнює їх середнє арифметичне?
№3  Турист ішов 4 год зі швидкістю 5 км/год і годину зі швидкістю 3 км/год. Яка середня швидкість руху туриста?
№4  Середнє арифметичне трьох чисел дорівнює 8,2. Чому дорівнює сума цих чисел?
№5  Середнє арифметичне двох чисел дорівнює 17. Одне з цих чисел дорівнює 15,3. Знайдіть друге число.
                        
                            
                            
                    Ответы
                                            Ответ дал: 
                                                                                    
                                        
                                            
                                                
                                                
                                                
                                                    0
                                                
                                            
                                        
                                    Ответ:
хіба так, вибач, якщо щось не зрозуміло
Приложения:
                    
                            Вас заинтересует
                
                        1 год назад
                    
                
                        1 год назад
                    
                
                        3 года назад
                    
                
                        8 лет назад
                    
                
                        8 лет назад