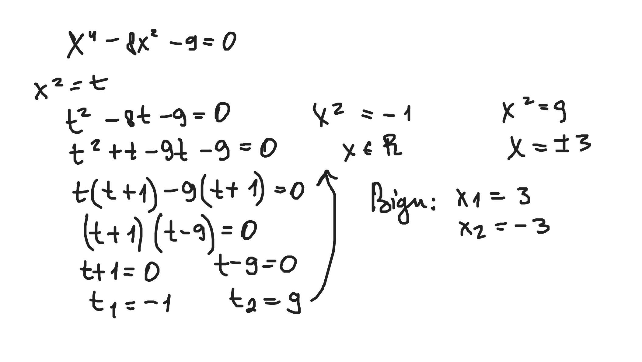
Знайдіть коренi бiквадратного рiвняння:

СРОЧНОООООО НАДОООООО ДАЮ МНОЛГОО БАЛООВВВ
АААААААААВААААА
Ответы
Ответ дал:
0
Ответ:
вот ответ
Объяснение:
Приложения:

Вас заинтересует
1 год назад
1 год назад
1 год назад
3 года назад