Алгебра. Даю 100 балів. потрібно вирішити завдання з максимальним поясненням щоб було усе зрозуміло будь ласка.
з дуже детальним поясненням будь ласка
Приложения:




Ответы
Ответ дал:
1
Объяснение:
1.
Периметр состоит из 10 сторон квадрата .
сторона квадрата =Р:10=20:10= 2 см
Sфигуры=4•Sквадрата=4•2²=16 см²
ответ: 16 см²
2.
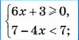
{6х+3≥0
{7-4х<7
{6х≥ -3
{-4х<7-7
{х≥ -3/6
{-4х<0
{х≥ -1/2
{х> 0
ответ: х∈(0;+∞)
3.
7-(sin²β+cos²β)/(3sin²β+3cos²β)=
=(7-1)/(3(sin²β+cos²β))=
=6/(3•1)=6/3=2
Вас заинтересует
1 год назад
1 год назад
1 год назад
1 год назад
3 года назад
8 лет назад