• Предмет: Алгебра
  • Автор: amaksimenko2016
  • Вопрос задан 2 года назад

Допоможіть будь ласка
даю 30 балів!!!
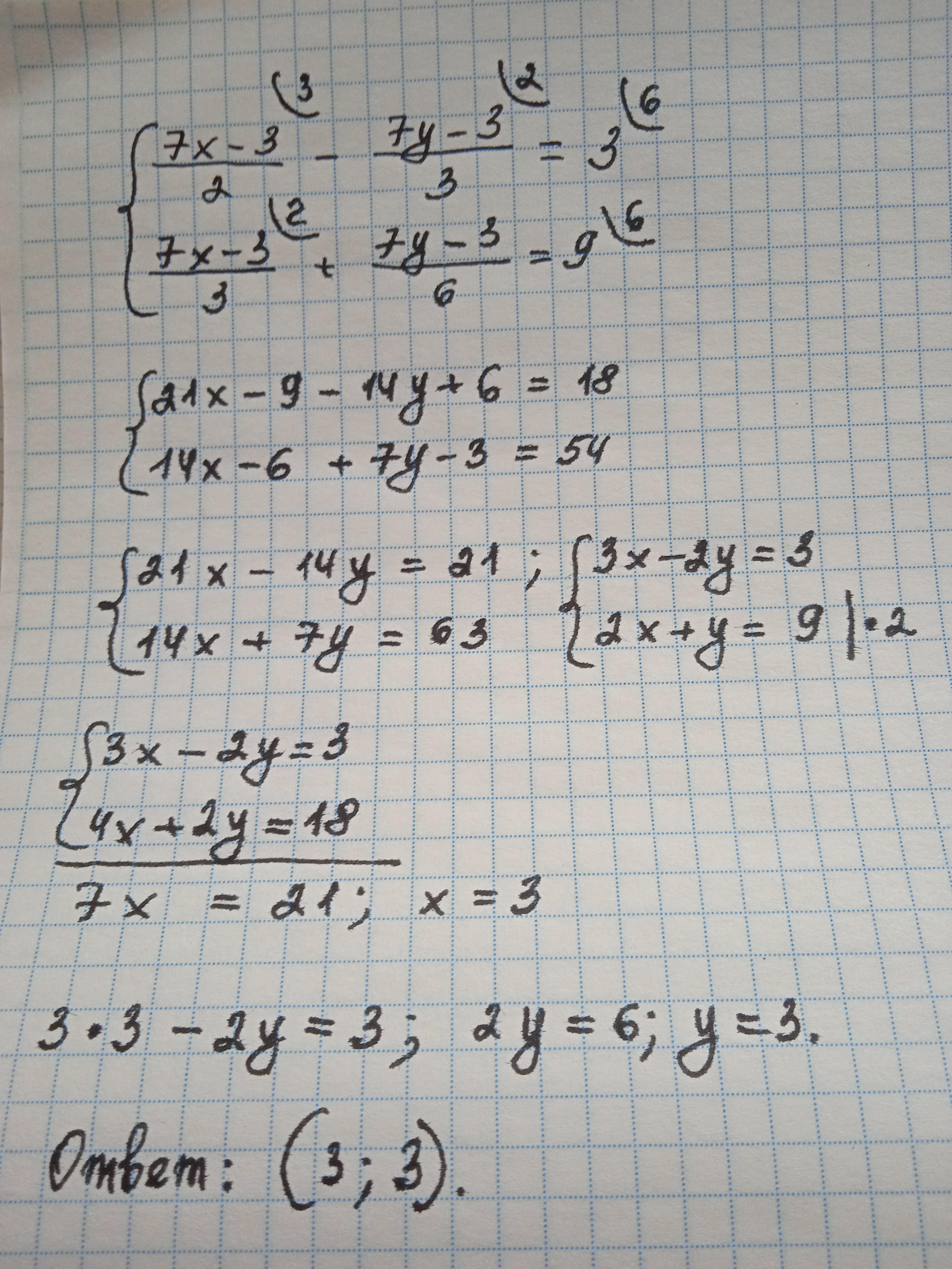
Розв’яжіть систему способом додавання:

Приложения:

Ответы

Ответ дал: Пеппер
2

Ответ:

на фото

Объяснение:

Приложения:

amaksimenko2016: Спасибо большое, выручили))
Вас заинтересует