• Предмет: Алгебра
  • Автор: oleksiypankratov2020
  • Вопрос задан 2 года назад

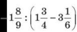
ПОМОГИТЕ ПОЖАЛУЙСТА ДАЮ 35 БАЛОВ ​

Приложения:

Ответы

Ответ дал: sstavridka
0

Ответ:

1 \frac{8}{9}  \div (1 \frac{3}{4}  - 3 \frac{1}{6} ) =  \\  =  \frac{17}{9}  \div ( \frac{7}{4}  -  \frac{19}{6} ) =  \\  =  \frac{17}{9}  \div \frac{7 \times 3 - 19 \times 2}{12}  =  \\  =  \frac{17}{9}  \times ( -  \frac{12}{ 17} ) =  \\  =  -  \frac{4}{3}  =  - 1 \frac{1}{3}

Вас заинтересует