• Предмет: Алгебра
  • Автор: arunaopy
  • Вопрос задан 2 года назад

ПОЖАЛУЙСТА БЫСТРЕЕ ДАМ 35 БАЛЛОВ
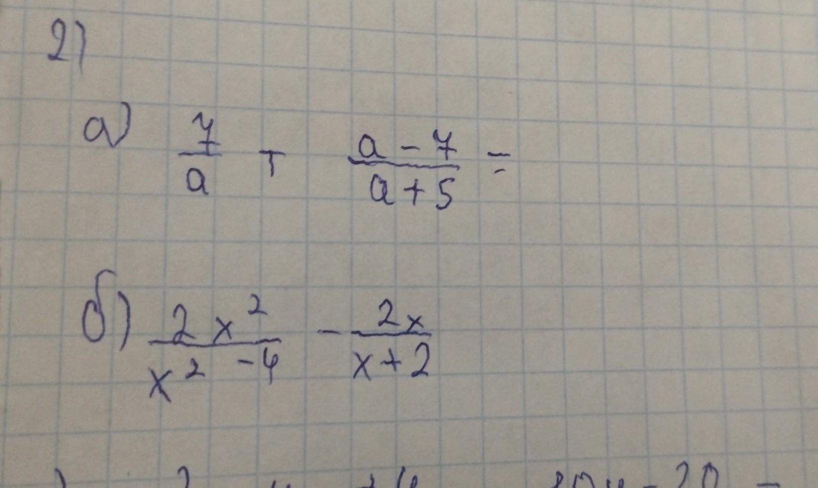
выполните действие

Приложения:

Ответы

Ответ дал: Universalka
0

\displaystyle\bf\\1)\\\\\frac{7}{a} +\frac{a-7}{a+5} =\frac{7\cdot(a+5)+(a-7)\cdot a}{a\cdot(a+5)} =\\\\\\=\frac{7a+35+a^{2} -7a}{a\cdot(a+5)} =\frac{a^{2} +35}{a(a+5)} \\\\2)\\\\\frac{2x^{2} }{x^{2} -4} -\frac{2x}{x+2} =\frac{2x^{2} }{(x -2)(x+2)} -\frac{2x}{x+2} =\\\\\\=\frac{2x^{2} -2x\cdot(x-2)}{(x-2)(x+2)} =\frac{2x^{2} -2x^{2} +4x}{x^{2} -4} =\frac{4x}{x^{2} -4}

Вас заинтересует