• Предмет: Математика
  • Автор: thebreeze500
  • Вопрос задан 2 года назад

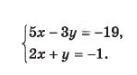
Срочно система розв'язати в зошиті . даю 30 балів

Приложения:

Ответы

Ответ дал: olga150579
0
Розвʼязання системи способом підстановки
Приложения:
Вас заинтересует