Ответы
Ответ дал:
0
Ответ:
Объяснение:
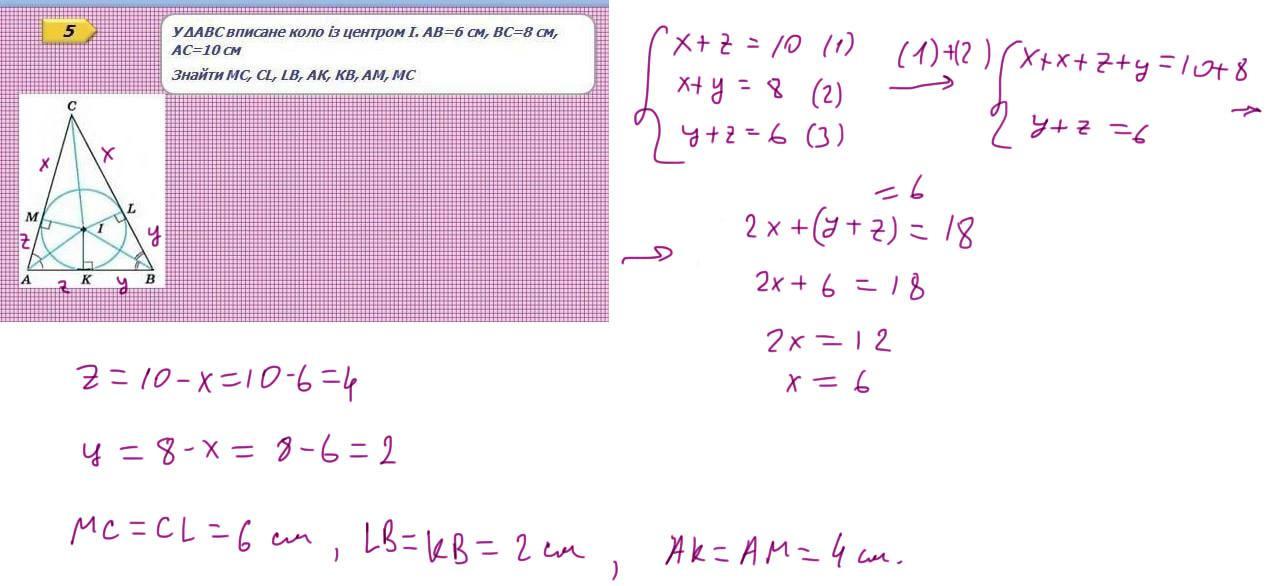
Отрезки касательных к окружности, проведенные из одной точки, равны.
=> MC=CL=x см; LB=KB=y см; AK=AM=z см.
Приложения:

Вас заинтересует
1 год назад
1 год назад
1 год назад
3 года назад
3 года назад
8 лет назад