• Предмет: Математика
  • Автор: Аноним
  • Вопрос задан 2 года назад

жду нормальное решение​

Приложения:

Ответы

Ответ дал: aruzhanmari
0
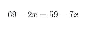
-2х +7х =59-69
5х=-10
х=-2
Вас заинтересует