• Предмет: Математика
  • Автор: Аноним
  • Вопрос задан 2 года назад

жду решение с пояснением за большое кол-во баллов​

Приложения:

Ответы

Ответ дал: ivanovaa97
0

Ответ:

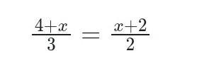
Для решения данного уравнения нужно сначала избавиться от знаменателей. Для этого можно умножить обе части уравнения на НОК знаменателей, который в данном случае равен 6:

6*(4+x)/3 = 6*(x+2)/2

2*(4+x) = 3*(x+2)

Раскрываем скобки:

8 + 2x = 3x + 6

Вычитаем 2x из обеих частей уравнения:

8 = x + 6

Вычитаем 6 из обеих частей уравнения:

x = 2

Таким образом, решением уравнения (4+x)/3 = (x+2)/2 является число x=2.


Аноним: я же вижу что это нейронка
Аноним: нейронки топ
Аноним: так откуда 2 и 3
Аноним: ??
ivanovaa97: Умножение обеих частей на НОК (3, 2)
ivanovaa97: Который равен 6
ivanovaa97: НОК, чел, 3,2
ivanovaa97: наименьшее общее кратное 3 и 2 это 6
ivanovaa97: Не знаю что ещё тебе ответить
ivanovaa97: За обучением не ко мне)
Вас заинтересует