• Предмет: Алгебра
  • Автор: kingsaq
  • Вопрос задан 2 года назад

нужен ответ!!!! даю 15 балов!!!!

Приложения:

Ответы

Ответ дал: broomspun1
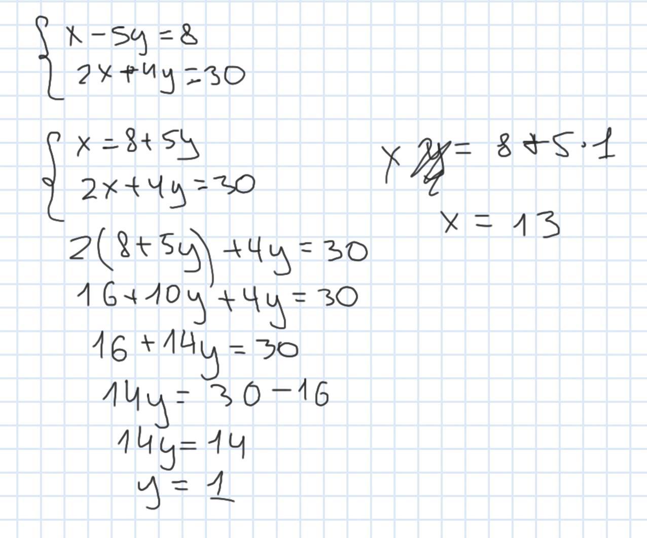
1

Ответ:

дай лучший ответ

Объяснение:

Приложения:
Вас заинтересует