СРОЧНОООООООО
Знайти похідну функції:
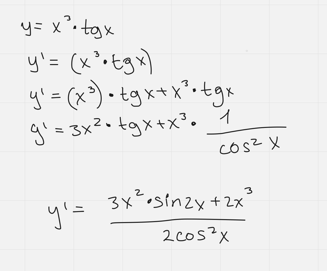
y=x³tgx
SsInostrankasS:
Будь ласка,не списувати з інших джерел,тому що там неправильно,перевірено!
Ответы
Ответ дал:
0
Ответ:
дай лучший ответ пж
Объяснение:
Приложения:

Вас заинтересует
1 год назад
1 год назад
3 года назад
3 года назад
8 лет назад