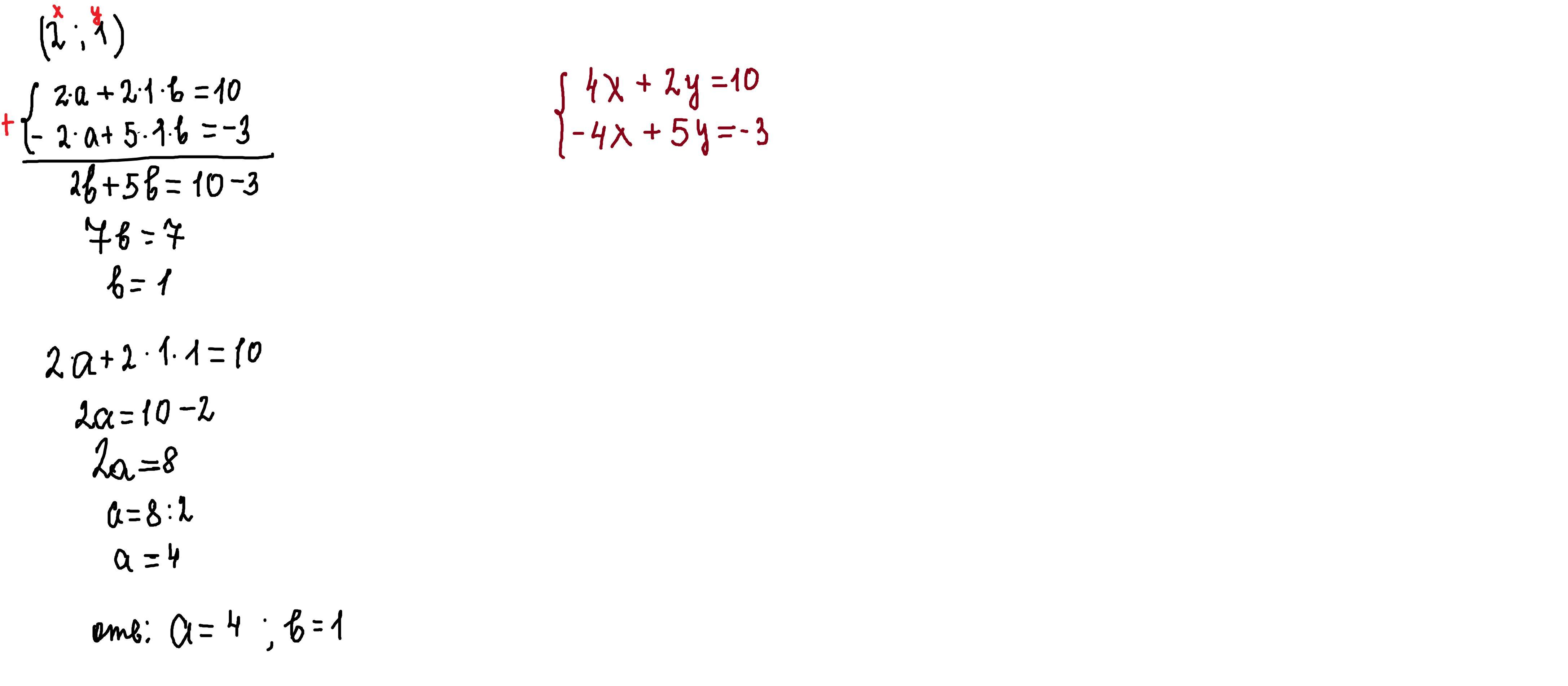
100 БАЛОВ!! розв'язком системи рівнянь
ах + 2by=10
-ax+5 by=-3
є пара чисел (2;1). знайдіть а і b.
Ответы
Ответ дал:
1
Ответ: a=4, b=1.
Объяснение:
Ответ дал:
1
Ответ:
а=4 b=1
Объяснение:
подставим вместо х и у их значения в систему,решим ее способом сложения и найдем значения а и b.
Приложения:

Вас заинтересует
1 год назад
1 год назад
3 года назад