Ответы
Ответ дал:
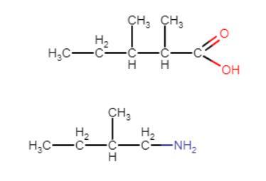
1
а) сверху
б) снизу
////////////
Приложения:

Вас заинтересует
1 год назад
1 год назад
1 год назад
1 год назад
3 года назад
3 года назад
8 лет назад
8 лет назад