• Предмет: Алгебра
  • Автор: gigagadsap
  • Вопрос задан 2 года назад

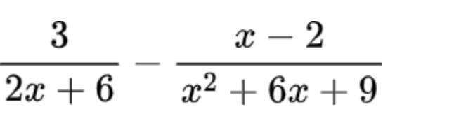
Упростите выражения
3
2x + 6
10 баллов
x - 2
x2 + 6x + 9
x + 13
2(x+3)²

Приложения:

Ответы

Ответ дал: arhe0411
0

Ответ:

!!!!!!!!!!!!!!!!!

Объяснение:

1) 2(x+3)

2) 2

3) (x+3)²

4) -13

5) x²+6x+9

Вас заинтересует