• Предмет: Алгебра
  • Автор: Аноним
  • Вопрос задан 2 года назад

Алгебра. Даю 100 балів. потрібно вирішити завдання з максимальним поясненням щоб було усе зрозуміло будь ласка.

з дуже детальним поясненням будь ласка

Приложения:

Ответы

Ответ дал: ludmilaksenija2005
1

Объяснение:

1.

высота Н=12 см

апофема h=13 см

объем V=?

V=1/3•a²•H

в основании квадрат со стороной а.

по теореме Пифагора:

а/2=√(h²-H²)=√(13²-12²)=√25=5 см

а=2•5=10 см

V=1/3•10²•12=400 см³

ответ: 400 см³

2.

МN - средняя линия

МК=13 см

КN=23 см

S=?

биссектриса АС отсекает равнобедреный ∆АВС,где АВ=ВС.

МN=MK+KN=13+23=36 см

MK - cредняя линия ∆АВС ,значит

ВС=2•МК=2•13=26 см

АВ=ВС=26 см

МN=(AD+BC)/2

AD=2•MN-BC=2•36-26=46 cм

АН=LD=(AD-BC)/2=10 см

∆АВН - прямоугольный:

по теореме Пифагора:

ВН=√(АВ²-АН²)=√(26²-10²)=√576=24 см

S=MN•BH=36•24=864 cм²

ответ: 864 см²

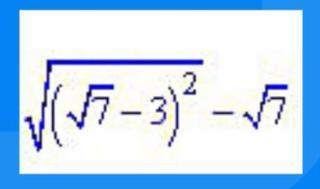
3.

√((√7-3)²)-√7=3-√7-√7=3-2√7

Приложения:

arsenijbrizickij2: Людмила зайдите в мой профиль и в самом верху задание с алгебры сделайте пожалуйста
arsenijbrizickij2: только срочно нужно
arsenijbrizickij2: делать всё что есть на странице
Вас заинтересует