• Предмет: Математика
  • Автор: ivan2021vert
  • Вопрос задан 2 года назад

Срочно пж даю 50 балов

Приложения:

Ответы

Ответ дал: nastya24urban
1

Відповідь:

Покрокове пояснення:



Приложения:
Ответ дал: iramazurk
0

Пошаговое объяснение:

1

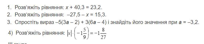
х + 40,3 = 23,2

х = 23,2 - 40,3

х = -17,1

2

-27,5 - х = 15,3

х = -27,5 - 15,3

х = -42,8

3

-5(3а - 2) + 3(6а - 4) = -15а + 10 + 18а - 12 = 3а - 2

а = -3,2

3а - 2 = 3 * (-3,2) - 2 = -9,6 - 2 = -11,6

4

|х| * (-1 5/9) = -1 8/27

|х| = -1 8/27 : (-1 5/9)

|х| = -35/27 : (-14/9)

|х| = -35/27 * (-9/14)

|х| = -5/3 * (-1/2)

|х| = 5/6

х1 = -5/6

х2 = 5/6

Вас заинтересует