Ответы
Ответ дал:
1
Ответ:
Відповідь:
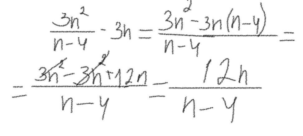
Розв'язок на фото.
Приложения:

Ответ дал:
0
Вас заинтересует
1 год назад
1 год назад
1 год назад
1 год назад
3 года назад
3 года назад
8 лет назад