• Предмет: Алгебра
  • Автор: presledovatelistiny
  • Вопрос задан 2 года назад

решите пожалуйста желательно в тетради​

Приложения:

Ответы

Ответ дал: mary12523
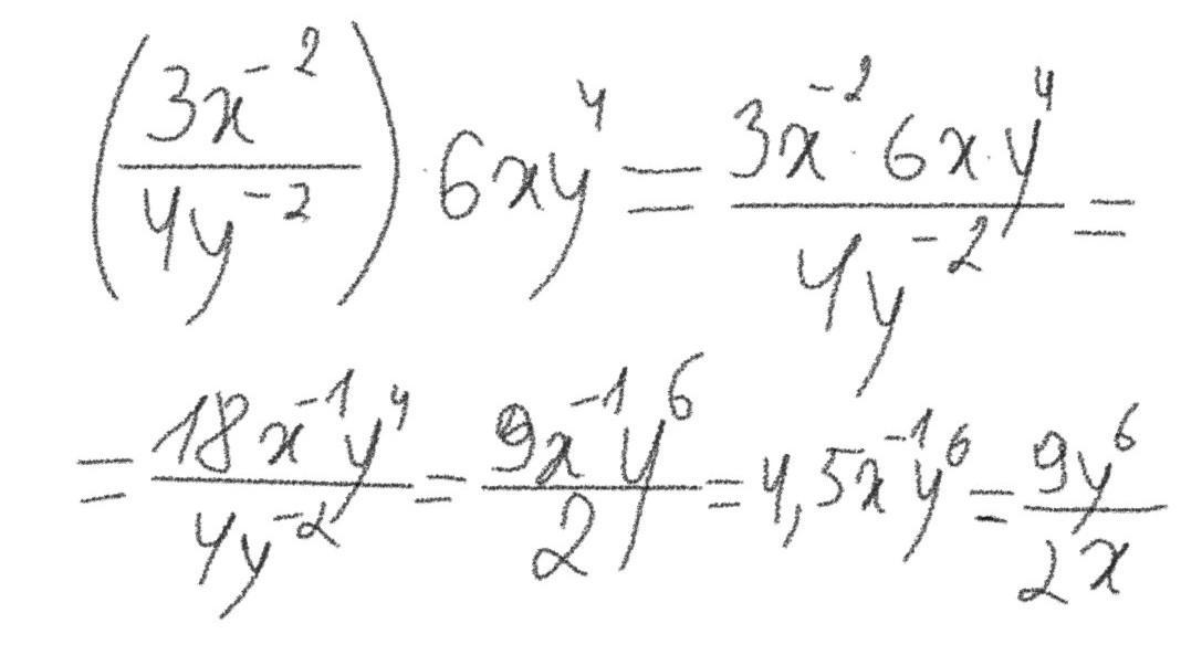
1

Ответ:

4.5x ^{ - 1} y {}^{6}

або

 \frac{9y { }^{6} }{2x}

Приложения:
Вас заинтересует