• Предмет: Алгебра
  • Автор: lizababicheva422
  • Вопрос задан 2 года назад

СРОЧНО!! ДАМ 20 БАЛОВ




Приложения:

Ответы

Ответ дал: wxksoo
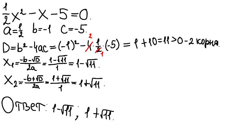
1

решаем с помощью дискриминанта.

надеюсь понятно !

Приложения:

lizababicheva422: да, все понятно
Вас заинтересует