Допоможіть будь ласка умоляю ато мене мама вб'є задуше й закопає

Ответы
Ответ:
Тримай відповідь. Надіюсь з тобою буде все добре


Ответ:
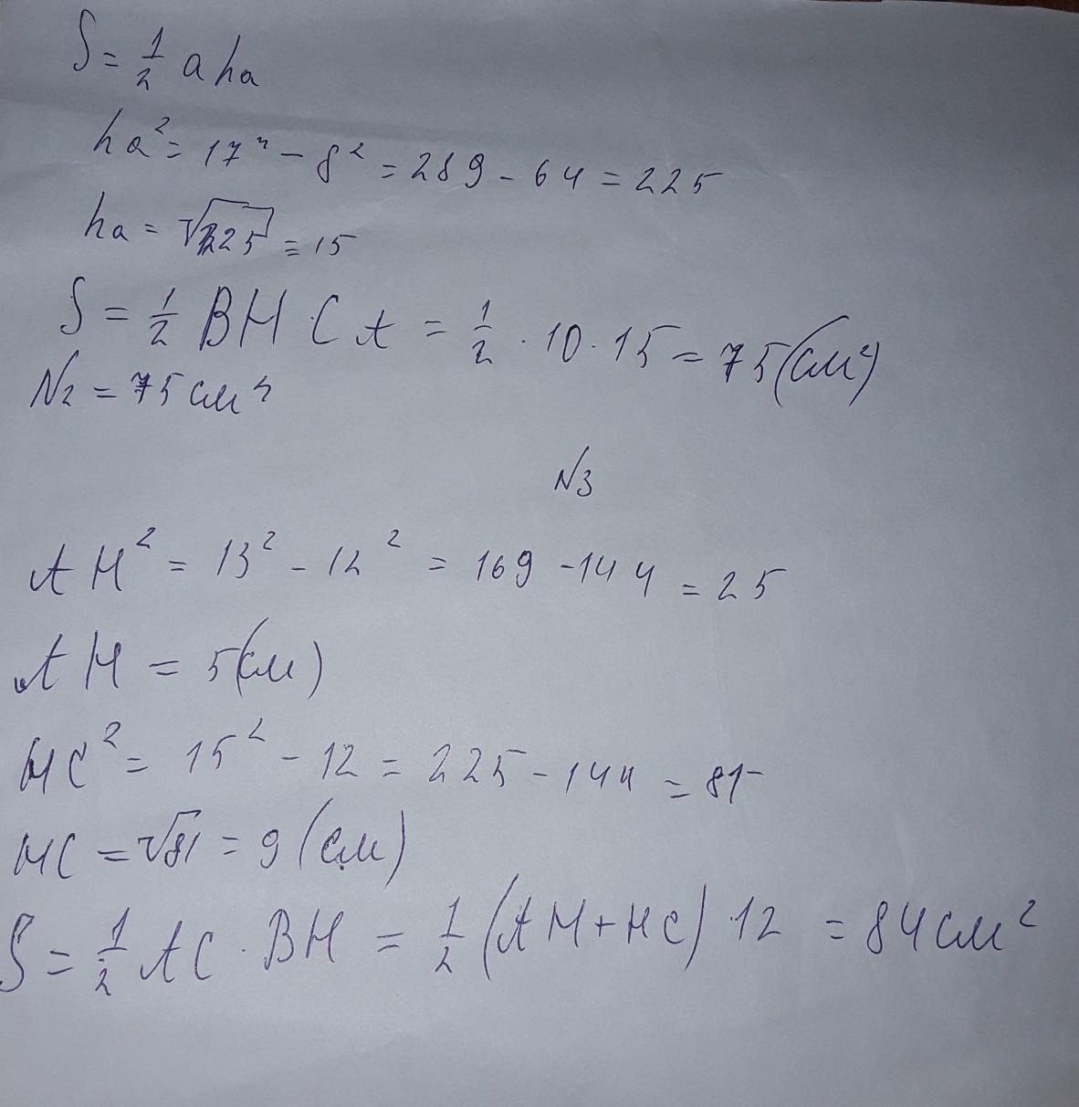
1) S(∆ABC)=60см²
2) S(∆ABC)=75см²
3) S(∆ABC)=84см²
Объяснение:
1)
BH- висота, медіана і бісектриса рівнобедреного трикутника.
АН=НС,
АН=АС/2=10/2=5см
∆АВН- прямокутний трикутник.
За теоремою Піфагора:
ВН=√(АВ²-АН²)=√(13²-5²)=√(169-25)=
=√144=12см.
S(∆ABC)=½*BH*AC=½*12*10=60см²
Малюнок добавлено
_______________
2)
∆АВН- прямокутний трикутник.
За теоремою Піфагора:
ВН=√(АВ²-НА²)=√(17²-8²)=√(289-64)=
=√225=15см
СА=СН+НА=2+8=10см
S(∆ABC)=½*CA*BH=½*10*15=75 см²
________________
3)
∆ВНС- прямокутний трикутник.
За теоремою Піфагора:
НС=√(ВС²-ВН²)=√(15²-12²)=√(225-144)=
=√81=9см
∆ВАН- прямокутний трикутник.
За теоремою Піфагора:
АН=√(АВ²-ВН²)=√(13²-12²)=√(169-144)=
=√25=5см
АС=НС+АН=5+9=14см
S(∆ABC)=½*BH*AC=½*14*12=84см²
__________________
