Ответы
Ответ дал:
0
Ответ:
x,y(9/16; 9/8)
Объяснение:
9-3y-5y=0
9-8y=0
-8y=-9
y=9/8
10x-5×9/8=0
10x-45/8=0
10x=45/8
x=9/16
x,y(9/16; 9/8)
Ответ дал:
0
Ответ:
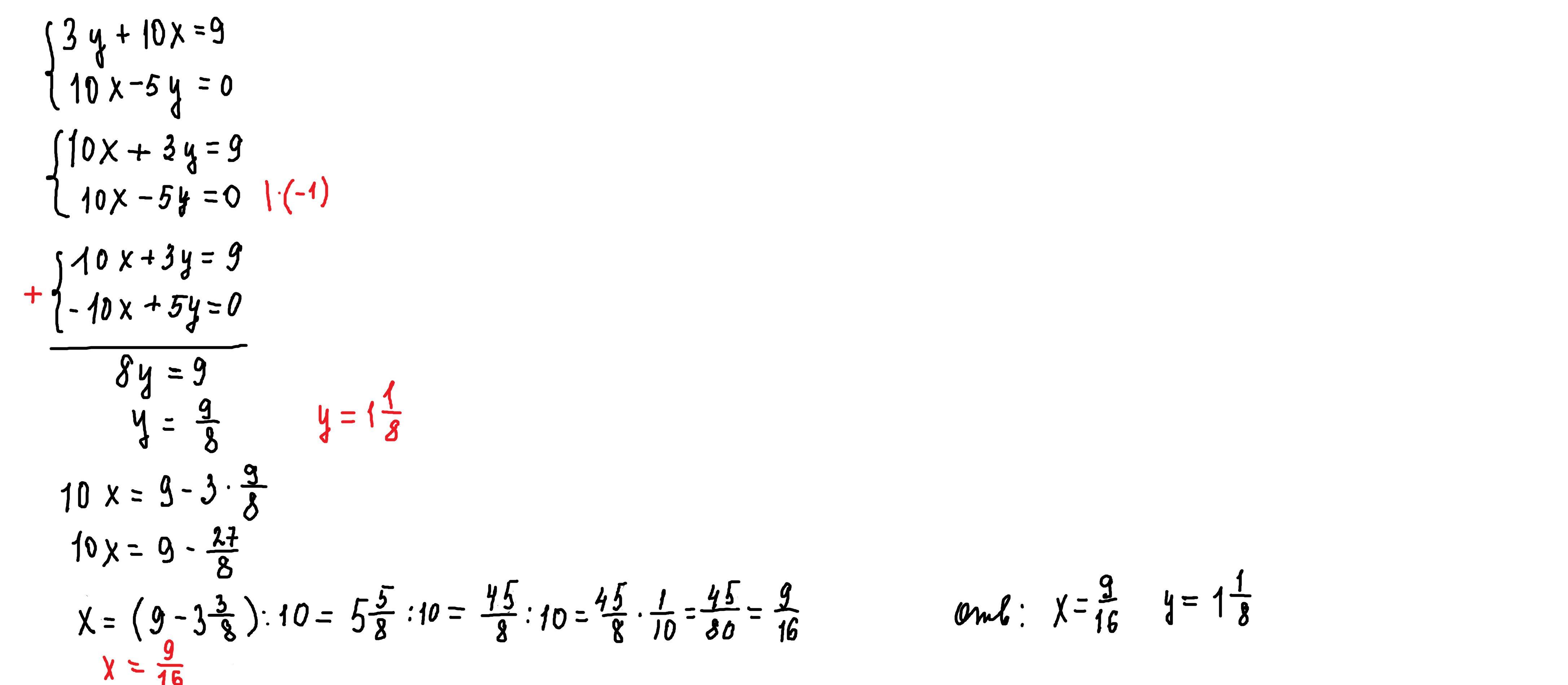
х= 9/16 у= 1 1/8
Объяснение:
Приложения:

Вас заинтересует
1 год назад
1 год назад
1 год назад
1 год назад
3 года назад
3 года назад
8 лет назад