• Предмет: Алгебра
  • Автор: gontarartem09
  • Вопрос задан 2 года назад

Помогите остался 1 час времени!!!!!

Приложения:

Ответы

Ответ дал: Universalka
0

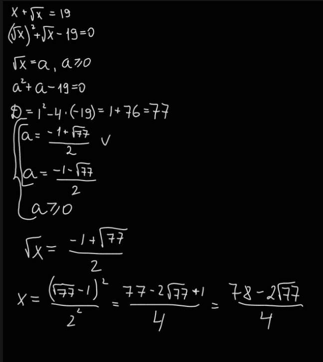
\displaystyle\bf\\x+\sqrt{x} =19\\\\\sqrt{x}=m \  \ \Rightarrow \  \ m\geq 0\\\\m^{2} +m-19=0\\\\D=1^{2}-4\cdot (-19)=1+76=77\\\\\\m_{1} =\frac{-1+\sqrt{77} }{2} \\\\\\m_{2} =\frac{-1-\sqrt{77} }{2} < 0- \ neyd\\\\\\\sqrt{x} =\frac{\sqrt{77}-1 }{2} \\\\\\x=\Big(\frac{\sqrt{77}-1 }{2}\Big)^{2} =\frac{77-2\sqrt{77} +1}{4} =\frac{78-2\sqrt{77} }{4} \\\\\\Otvet \ : \ x=\frac{78-2\sqrt{77} }{4}

Ответ дал: сок111213
0

Решение на прикреплённой фотографии

Приложения:
Вас заинтересует