• Предмет: Алгебра
  • Автор: SsInostrankasS
  • Вопрос задан 2 года назад

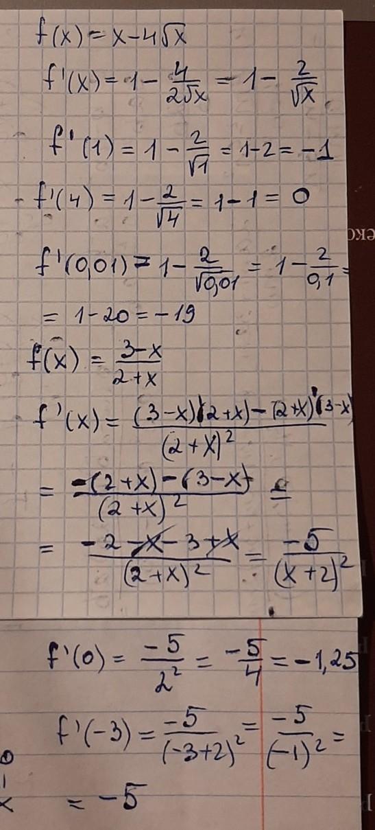
Знайдіть значення похідної функції f(x) у вказаних точках
f(x) = x - 4√x; x= 1; 4; 0,01
f(x)= 3-x / 2+x ; x=0; -3

Ответы

Ответ дал: сок111213
1

Решение на прикреплённой фотографии

Приложения:
Вас заинтересует