• Предмет: Алгебра
  • Автор: nelka7297
  • Вопрос задан 2 года назад

39.20.
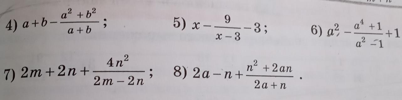
Преобразуйте в дроби выражение

Приложения:

Ответы

Ответ дал: danildiachenko23
1

Объяснение:

решение на фото, ответы подчеркнуты линией

Приложения:

nelka7297: Спасибо
Ответ дал: dobra888
1

Відповідь:

Пояснення:

   #   4 )  . . . =  [ ( a + b )² - ( a² + b² ) ]/( a + b ) = ( a² + 2ab + b²- a² -

                    - b² )/( a + b ) = 2ab/( a + b ) ;

       5 )  . . . =  [ ( x - 3 )² - 9 ]/( x - 3 ) = ( x² - 6x + 9 - 9 )/( x - 3 ) =

                   = ( x² - 6x )/( x - 3 ) ;

       6 )  . . . =  [( a² + 1 )( a²- 1 ) - ( a⁴ + 1 )]/( a² - 1 ) = ( a⁴- 1 - a⁴- 1 )/( a² - 1 ) =

                   = - 2/( a² - 1 ) ;

       7 )  . . . =  [ ( 2m + 2n )(2m - 2n ) + 4n² ]/( 2m - 2n ) = ( 4m² - 4n² +

                   + 4n² )/( 2m - 2n ) = 4m²/( 2( m - n ) = 2m²/( m - n ) ;

       8 )  . . . =  [ ( 2a - n )( 2a + n ) + n² + 2an )/( 2a + n ) = ( 4a² - n² + n² +

          + 2an )/( 2a + n ) = ( 4a² + 2an )/( 2a + n ) = 2a( 2a + n )/( 2a + n ) =

          = 2a .

Вас заинтересует