• Предмет: Алгебра
  • Автор: pdushevin
  • Вопрос задан 2 года назад

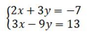
виразіть з першого рівняння системи змінну x через змінну y

Приложения:

Ответы

Ответ дал: JILoTIaEHoTa
1

Ответ:

x=(-7-3y)/2

Объяснение:

2x=-7-3y

x=(-7-3y)/2


pdushevin: какой ответ???
Вас заинтересует