Алгебра. Даю 100 балів. потрібно вирішити завдання з максимальним поясненням щоб було усе зрозуміло будь ласка.
з дуже детальним поясненням будь ласка
Приложения:



Ответы
Ответ дал:
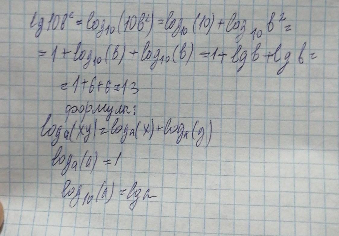
1
Объяснение:
1 на фото
ответ: Г
2.
сренее ариф= сумма всех чисел : количество слагаемых.
3,5=(1•2+3•3+4•4+х•1)/10
3,5=(2+9+16+х)/10
35=27+х
х=35-27
х=8
ответ: Г
3.
r=4 см
h=12 см
Sполн=2Sосн+Sбок
Sосн=πr²=π•4²=16π см²
Sбок=2πrh=2π•4•12=96π см²
Sполн=2•16π+96π=128π см²
сумма площадей образованных цилиндров равна:
Sполн+2Sосн=128π+2Sосн=128π+2•16π=
=128π+32π=160π см²
ответ: Д
Приложения:

Вас заинтересует
1 год назад
1 год назад
1 год назад
1 год назад
3 года назад
3 года назад
8 лет назад