Помогите, пожалуйста!!!
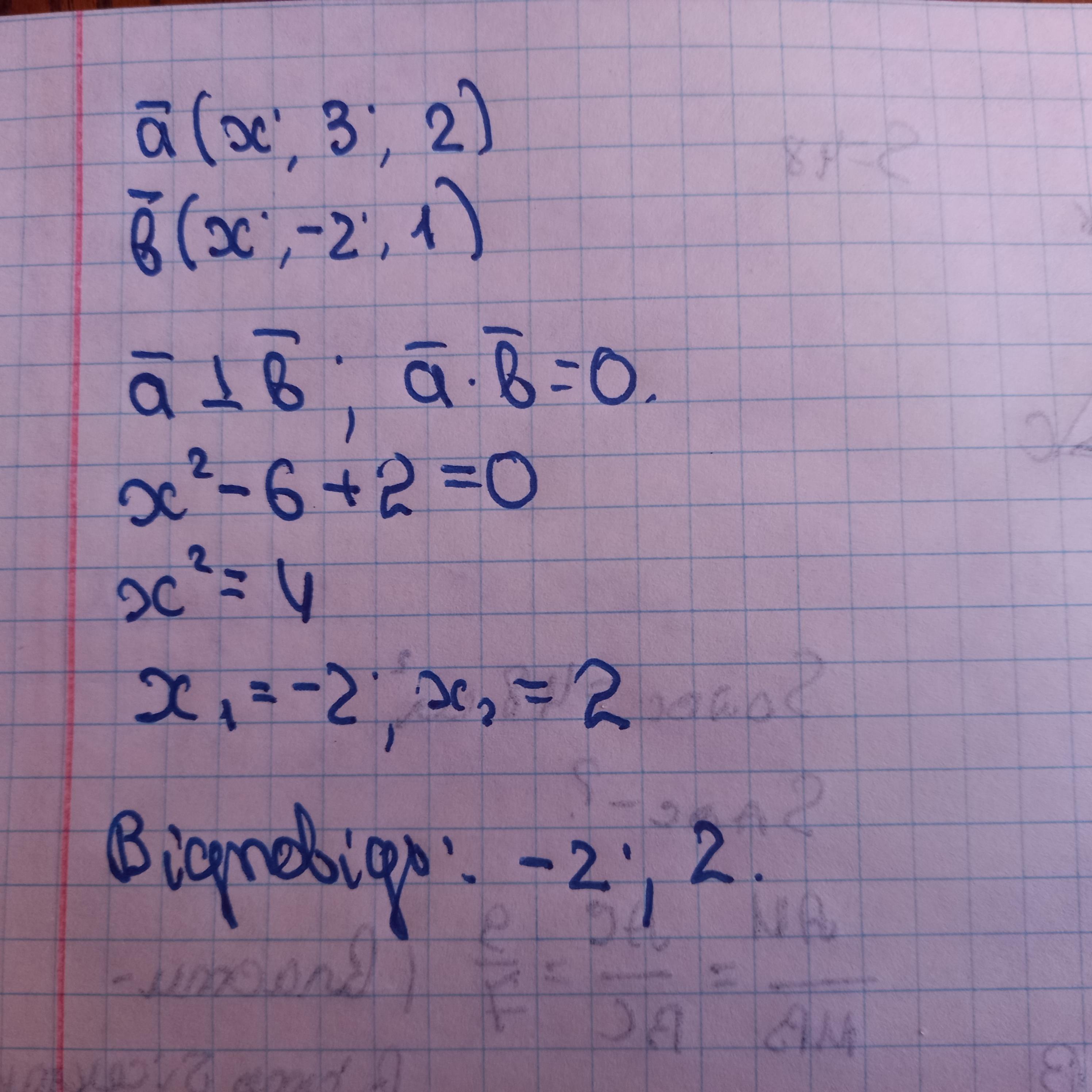
При яких значення х вектори а̅(х; 3; 2) і b̅(х; − 2; 1) перпендикулярні ?
а )1
б) - 3
в) -2
г) 2
д) - 1
е) 3
Ответы
Ответ дал:
1
Відповідь: -2; 2
Пояснення:
розв'язання завдання додаю
Приложения:

Вас заинтересует
1 год назад
1 год назад
3 года назад
3 года назад