• Предмет: Математика
  • Автор: f2qk552yg7
  • Вопрос задан 2 года назад

ПОЖАЛУЙСТА
РЕШИТЕ УРАВНЕНИЯ

Приложения:

Ответы

Ответ дал: patrikpatrikovich111
1

Ответ:

Пошаговое объяснение:

Приложения:
Ответ дал: natalyabryukhova
0

Ответ:

(5; 15)

Пошаговое объяснение:

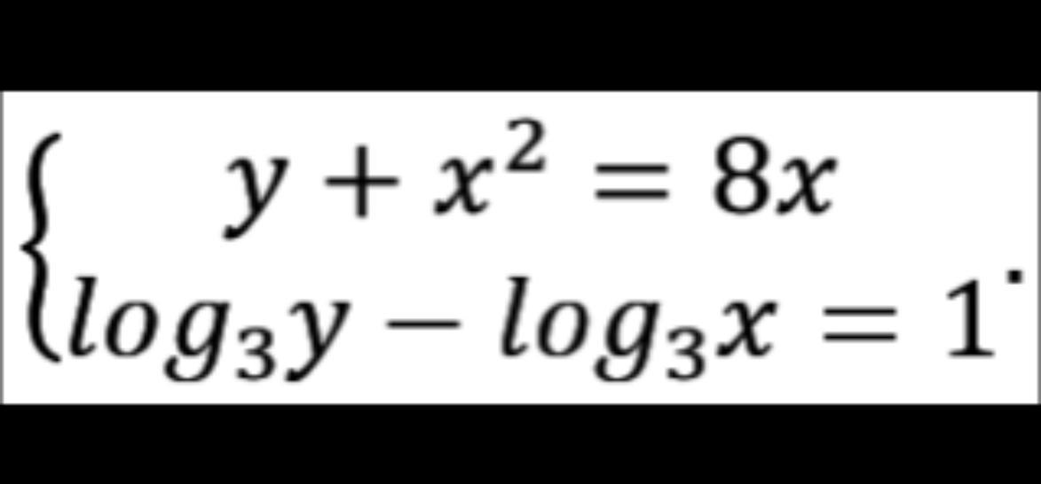
Решить систему уравнений:

\displaystyle\bf        \left \{ {{y+x^2=8x} \atop {log_3y-log_3x=1}} \right.

  • Число логарифма положительно.

ОДЗ:   x > 0;   y > 0

  • Свойство логарифмов:

          \boxed {\displaystyle\bf        log_ab-log_ac=log_a\frac{b}{c} }

\displaystyle        \left \{ {{y+x^2=8x} \atop {\displaystyle        log_3\frac{y}{x}=1 }} \right. \;\;\;\iff\;\;\;\left \{ {{y+x^2=8x} \atop {\displaystyle        \frac{y}{x} =3^1}} \right.

Выразим из второго уравнения у и подставим в первое:

\displaystyle        y=3x\\\\3x+x^2-8x=0\\\\x(x-5)=0\\\\x_1=0;\;\;\;x_2=5

x₁ - не подходит по ОДЗ.

⇒ х = 5;   у = 3х = 15

Ответ: (5; 15)


di4824041: Здравствуйте, помогите пожалуйста с вопросом
Аноним: Недобрый! Брюханова! Хватит нарушать правила!
di4824041: ???
di4824041: Здравствуйте, помогите пожалуйста и с
di4824041: Алгебра срочно, пожалуйста. 3 и 4.
С графиком/ рисунком.​
https://znanija.com/task/52746687?utm_source=android&utm_medium=share&utm_campaign=question
Вас заинтересует