• Предмет: Алгебра
  • Автор: Аноним
  • Вопрос задан 2 года назад

Алгебра. Даю 100 балів. потрібно вирішити завдання з максимальним поясненням щоб було усе зрозуміло будь ласка.

з дуже детальним поясненням будь ласка

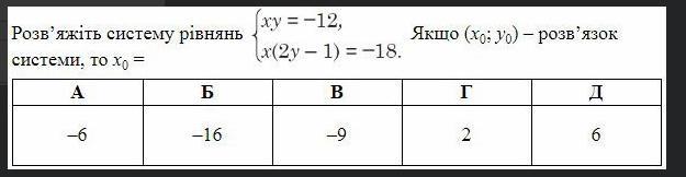
Приложения:

Ответы

Ответ дал: ludmilaksenija2005
1

Объяснение:

1.

{xy= -12 y= -12/x

{x(2y-1)= -18

y= -12/x

2xy-x= -18

2x•(-12/x)-x= -18

-24-x= -18

x= -24+18

x= -6

y= -12/(-6)=2

хо= -6

ответ: А

2.

(х+у)²-9х²=(х+у-3х)(х+у+3х)=

=(-2х+у)(4х+у)

ответ: В

3.

F(x)=2x³-1

f(x)=F'(x)=(2x³-1)'=(2x³)'-1'=

=2•3x²-0=6x²

ответ: Д

Вас заинтересует