• Предмет: Алгебра
  • Автор: Аноним
  • Вопрос задан 2 года назад

Алгебра. Даю 100 балів. потрібно вирішити завдання з максимальним поясненням щоб було усе зрозуміло будь ласка.

з дуже детальним поясненням будь ласка

Приложения:

Ответы

Ответ дал: NNNLLL54
1

Ответ:

1)  Задана функция   \bf y=\sqrt{x^2+9}-6  .

Так как  \bf x^2\geq 0  для любых значений  х , то   \bf x^2+9\geq 9  . Самое маленькое значение, которое может принимать подкоренное выражение равно  9 . Поэтому  \bf \sqrt{x^2+9}\geq \sqrt{9}  ,   \bf \sqrt{x^2+9}\geq 3  .

А функция  \bf \sqrt{x^2+9}-6\geq 3-6\ \ ,\ \ \  \sqrt{x^2+9}-6\geq -3  .

Ответ:  Г) ,   \bf y\in [-3\ ;+\infty \, )  .  

2)  Тело, развёртка которого изображена на рисунке - это прямоугольный параллелепипед с размерами 6 см , 3 см , 6 см .

Его объём равен произведению всех трёх измерений :  

V = 6·3·6 = 108 cм³  

Ответ:  А) .

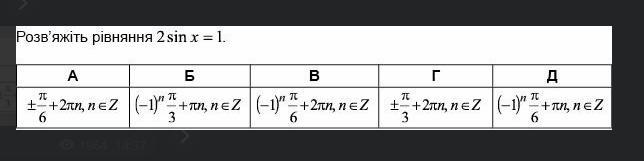
3)  Решить уравнение .

\bf 2\, sinx=1\ \ \ \Rightarrow \ \ \ sinx=\dfrac{1}{2}\ \ ,\\\\x=(-1)^{n}\cdot \dfrac{\pi }{6}+\pi n\ \ ,\ n\in Z  

Ответ:  Д) .

Вас заинтересует