• Предмет: Алгебра
  • Автор: Аноним
  • Вопрос задан 2 года назад

Алгебра. Даю 100 балів. потрібно вирішити завдання з максимальним поясненням щоб було усе зрозуміло будь ласка.

з дуже детальним поясненням будь ласка

Приложения:

Ответы

Ответ дал: NNNLLL54
2

Ответ:

1)  Выражение, тождественно равное   \bf x^2+4  -  это выражение  Д) .

\bf (x-2)^2+4x=(x^2-4x+4)+4x=x^2+4\\\\ (x-2)^2+4x\equiv x^2+4  

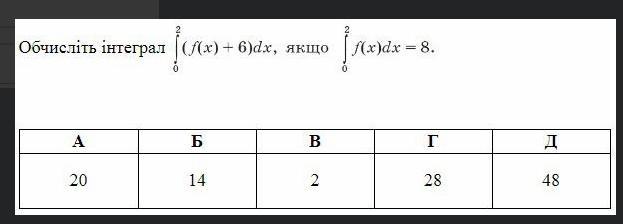
  \bf \displaystyle 2)\ \ \int\limits_0^2\, f(x)\, dx=8  

\bf \displaystyle \int\limits_0^2\Big(f(x)+6\Big)\, dx=\int\limits_0^2\, f(x)\, dx+6\int\limits _0^2\, dx=8+6x\, \Big|_0^2=8+6\, (2-0)=\\\\\\=8+12=20  

Ответ:  А) .

3)  Боковая поверхность правильной пирамиды равна произведению полупериметра основания на апофему .

Сторона правильного треугольника ( основания пирамиды) равна 10 см . Значит периметр равен Р=3*10=30 см .

Апофема - высота боковой грани . Боковая грань - равнобедренный треугольник с основанием 10 см и боковой стороной 13 см . Найдём её по теореме Пифагора , учитывая, что половина основания равна 5 см .  Смотри рисунок .

\bf h^2=13^2-5^2=169-25=144\ \ ,\ \ h=12  см

\bf S_{bok.}=\dfrac{1}{2}\, P\cdot h=\dfrac{1}{2}\cdot 30\cdot 12=15\cdot 12=180   (см²)    

Ответ:   S(бок.) = 180  см² .

Приложения:
Вас заинтересует