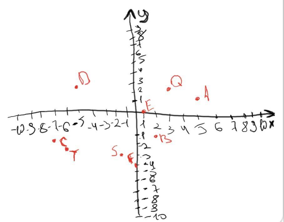
На координатній площині позначте точки: A (5; 1), B (2; -1), C (-7; -1), D (-5; 3), E (1; 0), F(0; - 4), S(- 1; - 3) T(- 6; 2) Q (3; 2).
Ответы
Ответ дал:
1
Ответ:
вот, только это должно конечно же все быть окуранее чем у меня. Синие полосочки Я соеденила чтобы Вы понимали где какую точку с тетрадке писать, синие линии не обязательно рисовать
Приложения:


Вас заинтересует
1 год назад
3 года назад
3 года назад