• Предмет: Геометрия
  • Автор: aavramenko512
  • Вопрос задан 1 год назад

Розв’яжіть прямокутний трикутник за різницеюгострих кутів φ і гіпотенузою c.​

Ответы

Ответ дал: AnastasiaVoloshchuk
2

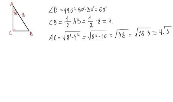
Ответ:

Посмотри решение внизу.

В прямокутном треугольнику против угла в 30° лежит катет, равный половине гипотенузы..

Приложения:
Вас заинтересует