• Предмет: Алгебра
  • Автор: falingveronika
  • Вопрос задан 2 года назад

Обчислить значение виразу √x-1 при х-2​

Ответы

Ответ дал: KseniiaDolyna
0

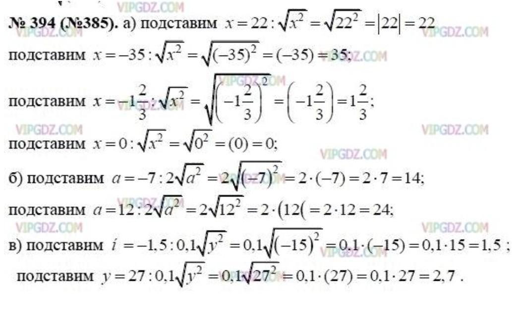
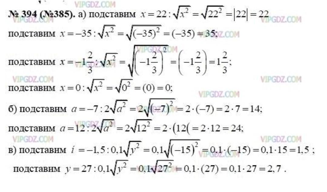
Ответ:

вот

Объяснение:

))))....))))))))))

Приложения:
Ответ дал: markpolshvedkin
0

Відповідь:

1

Пояснення:

\sqrt{x-1} =\sqrt{2-1} =\sqrt{1} =1

Вас заинтересует