• Предмет: Алгебра
  • Автор: safonovalera1807
  • Вопрос задан 2 года назад

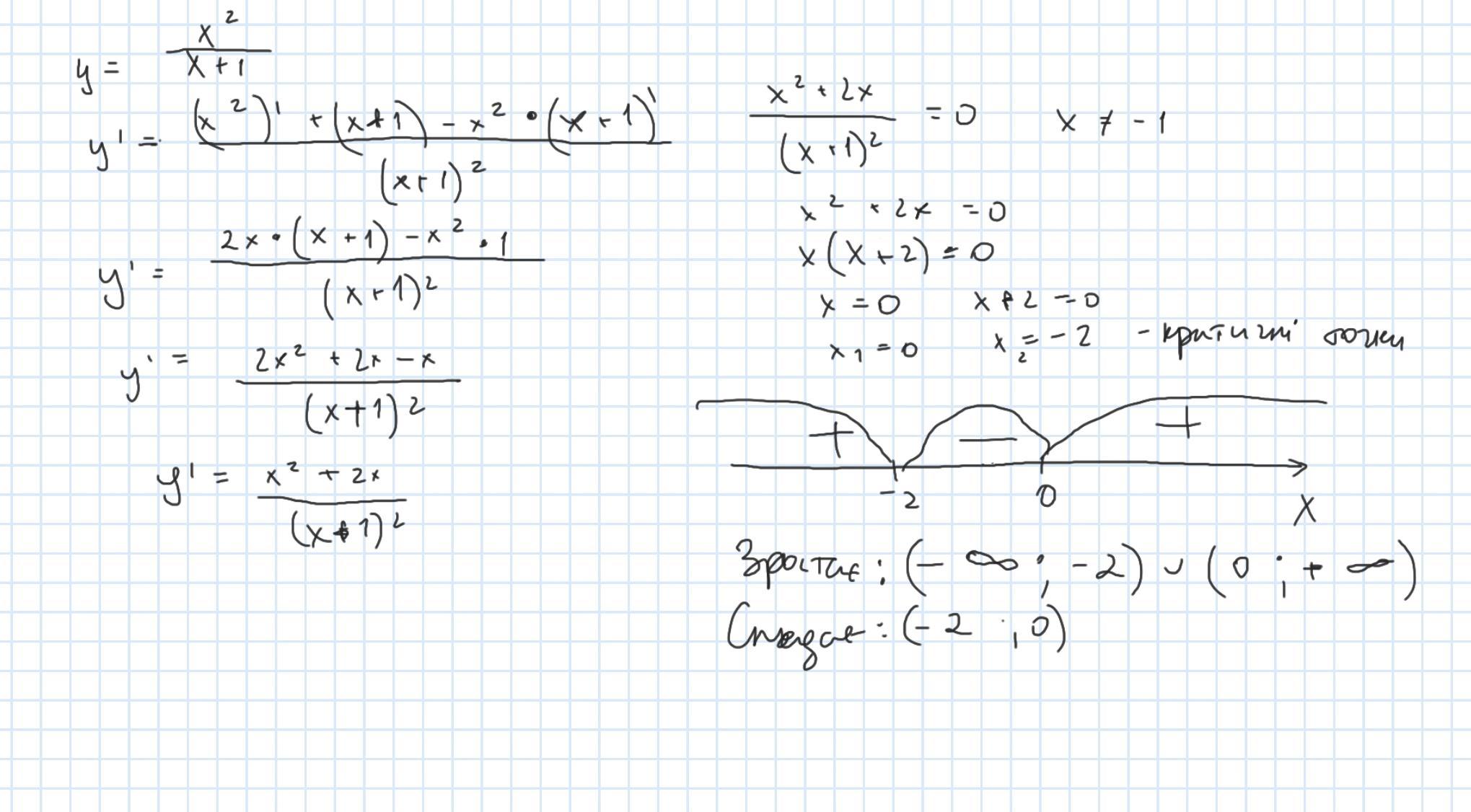
Знайдіть проміжки зростання та проміжки спадання функції​

Приложения:

Ответы

Ответ дал: broomspun1
1

Ответ:

дай лучший ответ пж

Объяснение:

Приложения:
Вас заинтересует