Ответы
Ответ дал:
1
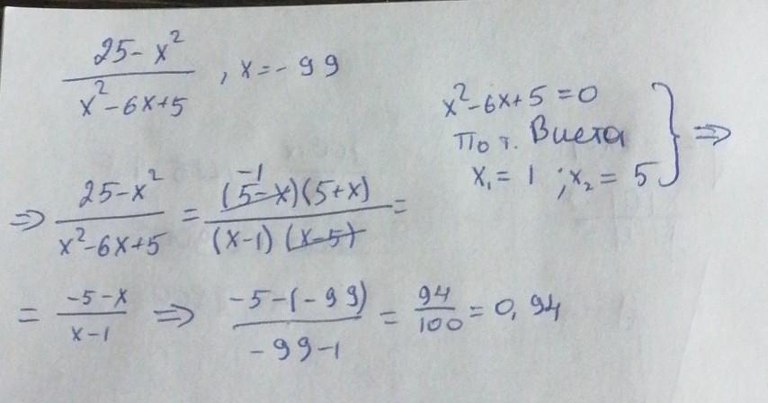
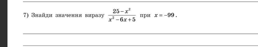
Ответ на фото
///////////////////////
Приложения:

Вас заинтересует
1 год назад
1 год назад
1 год назад
1 год назад
3 года назад
8 лет назад