• Предмет: Алгебра
  • Автор: chemeeen
  • Вопрос задан 2 года назад

Розв'яжіть рівняння
1) (x-16)²=0
2) (х+5)²=16​

Ответы

Ответ дал: broomspun1
1

Ответ:

дай лучший ответ пж

Объяснение:

Приложения:
Ответ дал: tester20181204
1

Ответ:

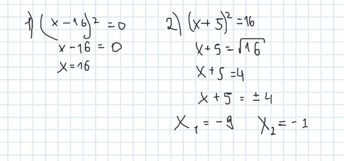
1) 16 2) x1 = -9 x2 = -1

Объяснение:

1) (x- 16)²= 0

x - 16 = 0

x = 16

2) (x+5)² = 16

x+5 = +-4

x+5 = -4

x = -5-4

x1= -9

x+5 =4

x=4-5

x2= -1

Вас заинтересует