• Предмет: Математика
  • Автор: nkgxkyutdiyxur
  • Вопрос задан 2 года назад

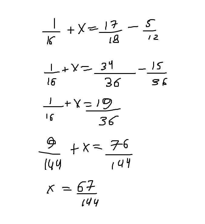
Решите уравнения 3)1/16+x=17/18-5/12​

Ответы

Ответ дал: HumongouseEel
1

Ответ:

Пошаговое объяснение:

Приложения:
Вас заинтересует