• Предмет: Математика
  • Автор: glebmarkin666
  • Вопрос задан 2 года назад

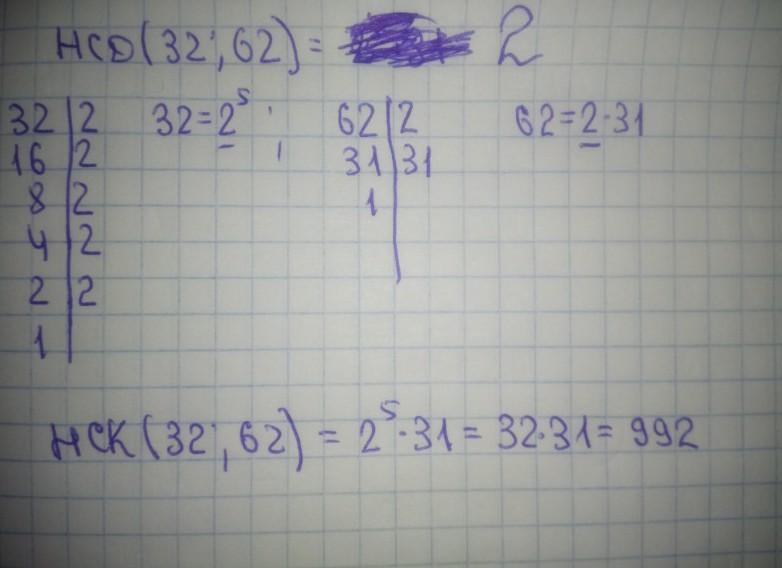
визначте НСД та НСК чисел 32 і 62

Ответы

Ответ дал: kristina290285
0

Пошаговое объяснение:

все розписано на фото

Приложения:
Вас заинтересует