• Предмет: Алгебра
  • Автор: kharkovskayaviktoria
  • Вопрос задан 2 года назад

помогите пожалуйста ​

Приложения:

Ответы

Ответ дал: albinahmel65
1

Ответ:

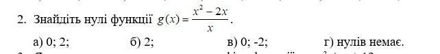
Відповідь: б)2 тому, що ↓↓↓

Объяснение:

x<0

x>0

Вас заинтересует