• Предмет: Математика
  • Автор: Аноним
  • Вопрос задан 2 года назад

помогите пожалуйста

Приложения:

Dashunda: Помоги мне-помогу тебе

Ответы

Ответ дал: darinapups7
0

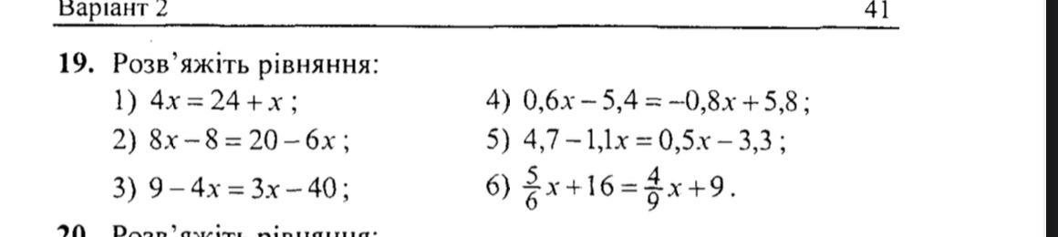
1) 4x = 24 + x

3x = 24

x = 8

2) 8x - 8 = 20 - 6x

14x = 28

x = 2

3) 9 - 4x = 3x - 40

7x = 49

x = 7

4)Добавляем 0,8х к обеим сторонам уравнения, чтобы избавиться от переменной в знаменателе:

0,6х + 0,8х - 5,4 = 5,8

Выполняем операции с переменными:

1,4х - 5,4 = 5,8

Добавляем 5,4 к обеим сторонам уравнения:

1,4х = 11,2

Делим обе стороны на 1,4:

х = 8

Ответ: х = 8.

5)4.7 - 1.1x = 1.6

-1.1x = 1.65 - 4.7

-1.1x = -3.05

x = 2.77

6 не знаю...

Вас заинтересует