• Предмет: Математика
  • Автор: kolinkopolina3
  • Вопрос задан 2 года назад

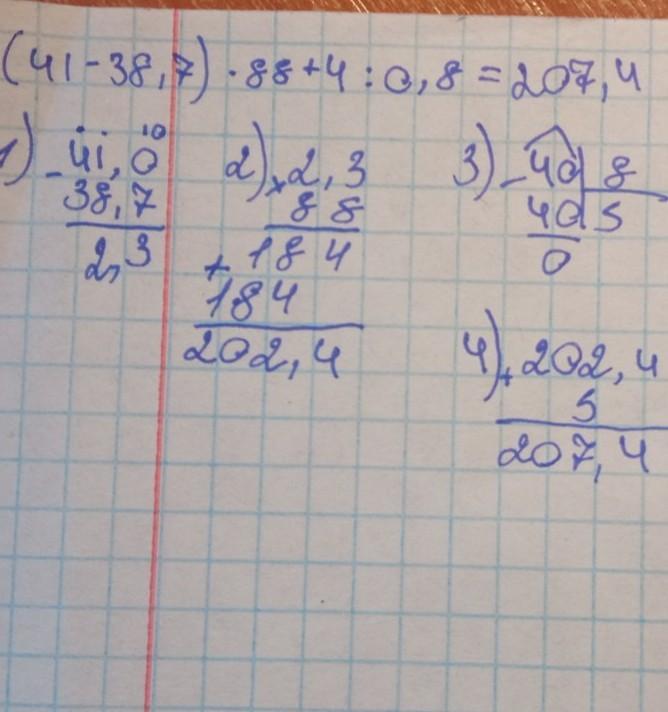
обсисли значення виразу
(41-38,7)*88+4:0,8
все в стопчик пожалуйстаа

Ответы

Ответ дал: TypoChaechek
1

Ответ:207,4

Пошаговое объяснение:

все по столбикам

Приложения:

kolinkopolina3: спасибооо
Ответ дал: SofiDragon
1

если я правильно понимаю, то так

Приложения:

kolinkopolina3: спасибооо
Вас заинтересует