• Предмет: Математика
  • Автор: demagandrej63
  • Вопрос задан 2 года назад

ПОМОГИТЕ СРОЧНО
пожалуйста в течении 30 минут надо

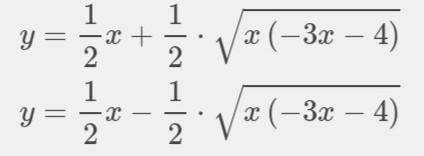
Приложения:

Ответы

Ответ дал: motinavarvara2908
0

ААААААААААААААААААААА

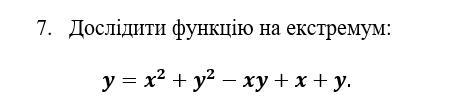
Приложения:
Вас заинтересует