• Предмет: Алгебра
  • Автор: a7270725
  • Вопрос задан 2 года назад

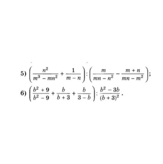
7 класс Помогите пожалуйста,отдам все свои последние баллы, буду очень благодарна за скорое решение

Приложения:

Ответы

Ответ дал: ludmilaiapanasenko
1

Ответ:

Объяснение: см. решение в  двух файлах ниже.

Приложения:

a7270725: Спасибо большое,очень помог)
Вас заинтересует