• Предмет: Алгебра
  • Автор: superman116
  • Вопрос задан 10 лет назад

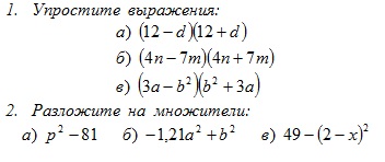
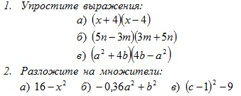
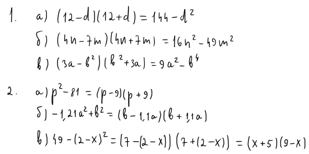
Пожалуйста решите Умножение разности двух выражений на их сумму

Приложения:

Ответы

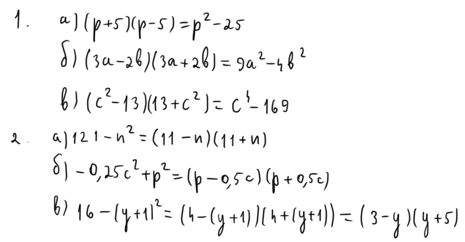
Ответ дал: Mydrый
0
решениеееееееееееееееееее
Приложения:
Ответ дал: Snakeace2014
0
мудрый помоги пожалуйста http://znanija.com/task/5276656
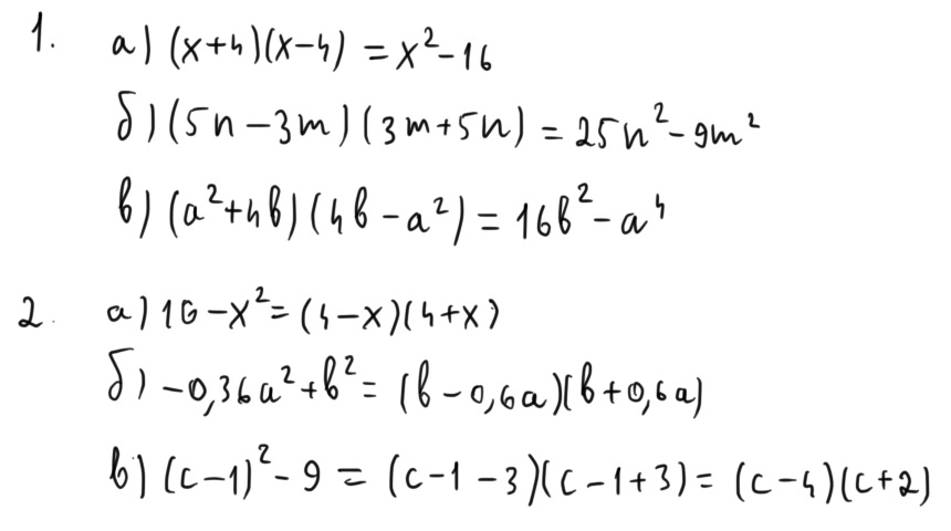
Ответ дал: nikolac
0
Решение на картинке.
Приложения:
Вас заинтересует