• Предмет: Математика
  • Автор: lavr12389
  • Вопрос задан 2 года назад

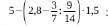
На фото ................

Приложения:

lavr12389: По русски

Ответы

Ответ дал: petrenkamikhail
0

Відповідь:

9/5або1,8або1 4/5

Покрокове пояснення:

Вас заинтересует